전체 글 1322

2025 DevOps의 본질과 최신 트렌드

정명훈 (구글 클라우드)IT에서의 효율성IT에서 효율성을 얻을 수 있는 최고의 방법은 무엇일까? 반복과 재사용이다. 아날로그 현실 세계와 달리 디지털 기반의 IT 세계에서는 동일한 결과물을 만드는 것이 매우 쉽다. 친구나 동료가 말한 목소리를 기억하고 전달하는 아날로그 방식은 내용을 빼먹기도 하지만, 디지털로 남겨지는 스마트폰 녹음은 10년이 지나도 그대로 전달할 수 있다. 한 번 녹음된 디지털 음성은 10개를 복제하던 100개를 복제하던 품질이 그대로 유지된다.  IT 발전의 역사는 반복과 재사용을 통한 효율화의 역사이다. 어떻게 하면 하드웨어 또는 소프트웨어를 모듈 단위로 만들어 재사용할 수 있게 고민한다. 함수를 통해서, 컴포넌트를 통해서 그리고 API를 통해서 소프트웨어를 재사용한다. 인텔과 AM..

파이썬 - 비동기 컨텍스트 매니저 async with .. as ..

async with 와 as 자세한 설명 및 예제 (Python Async)async with 와 as는 파이썬의 비동기 프로그래밍 (asyncio)에서 비동기 컨텍스트 관리자를 사용할 때 핵심적인 역할을 합니다. 일반적인 with 구문과 비슷하지만, 비동기 작업에 특화되어 리소스 관리를 더욱 강력하고 효율적으로 만들어줍니다.1. 컨텍스트 관리자 (Context Manager) 복습: with 구문과 as 절 (동기)먼저, 일반적인 (동기) 컨텍스트 관리자를 이해하는 것이 중요합니다. with 구문은 특정 리소스 (파일, 연결 등)를 안전하게 사용하고, 사용 후 자동으로 정리 (close, release 등)하도록 보장하는 메커니즘입니다.# 일반적인 with 구문 (동기 파일 I/O)with open("..

파이썬 - Function annotation ("->")

Python Function Annotations (100줄 이내 설명)Python Function Annotations는 함수 매개변수와 반환 값에 대한 타입 힌트 및 메타데이터를 제공하는 기능입니다. Python 3.5+ 부터 사용 가능하며, def 키워드 함수 정의 시 콜론 : 뒤에 표현식을 사용하여 어노테이션을 추가합니다.핵심은 리턴 타입을 강제하는 것이 아니라, 개발자나 IDE 와 같은 도구에게 가독성을 높이기 위한 방법이다.  문법:def function_name(param1: type_hint, param2: type_hint = default_value) -> return_type_hint: # 함수 내용 return valueparam1: type_hint: 매개변수 param..

파이썬 - Coroutine과 await

Python 코루틴 (Coroutine) 상세 설명코루틴은 프로그래밍의 패러다임 중 하나로, 서브루틴(함수)을 일반화한 개념입니다. 단순히 순차적으로 실행되는 함수와 달리, 코루틴은 실행을 일시 중단(pause)했다가 나중에 다시 재개(resume)할 수 있는 능력을 핵심으로 가집니다. 이러한 특징 덕분에 코루틴은 비동기 프로그래밍과 동시성 프로그래밍에서 매우 강력한 도구로 활용됩니다.1. 코루틴이란 무엇인가? (서브루틴과의 비교)서브루틴 (Subroutine, 일반 함수):단방향 진입/탈출 (Single entry point/exit point): 함수는 시작점에서 진입하여, 종료점에서 탈출합니다.호출자-피호출자 관계 (Caller-Callee): 함수를 호출하는 쪽(caller)과 호출되는 쪽(cal..

파이썬 - Generator & Iterator

제너레이터(Generator)와 이터레이터(Iterator) 비교: 장단점제너레이터와 이터레이터는 모두 파이썬에서 값을 순차적으로 생성하는 데 사용되는 객체입니다. 하지만 구현 방식과 사용 사례에서 차이가 있습니다.이터레이터 (Iterator)정의:이터레이터는 __iter__() 와 __next__() 라는 두 개의 특별한 메서드(매직 메서드 또는 던더 메서드)를 구현하여 값을 순차적으로 꺼낼 수 있도록 하는 객체입니다.__iter__() 메서드는 이터레이터 객체 자신을 반환합니다.__next__() 메서드는 다음 값을 반환하거나, 더 이상 반환할 값이 없을 때 StopIteration 예외를 발생시킵니다.구현 예:class MyIterator: def __init__(self, data): ..

파이썬 - yield 키워드

yield 키워드 설명yield 키워드는 Python에서 제너레이터(Generator) 함수를 정의할 때 사용되는 특별한 키워드입니다. 제너레이터는 이터레이터(Iterator)의 한 종류로, 값을 한 번에 모두 메모리에 저장하는 대신, 필요할 때마다 하나씩 생성하여 반환합니다.1. 제너레이터 (Generator)이터레이터(Iterator): __iter__() 와 __next__() 메서드를 구현하여 값을 순차적으로 꺼낼 수 있는 객체입니다. 리스트, 튜플, 문자열 등이 이터레이터의 예입니다.제너레이터(Generator): yield 키워드를 사용하여 이터레이터를 간단하게 생성하는 방법입니다. 함수 내에서 yield를 만나면, 해당 값을 반환하고 함수의 실행을 일시 중지합니다. 다음에 다시 호출되면, 중..

파이썬 - pass 키워드

pass 문의 의미와 Python 프로그래밍에서의 사용 용도pass 문의 의미pass 문은 Python에서 아무런 동작도 하지 않는 문장입니다. 즉, 문법적으로는 문장이 필요하지만, 실제로 어떤 코드도 실행하고 싶지 않을 때 사용합니다. pass는 일종의 자리 표시자(placeholder) 역할을 합니다.Python 프로그래밍에서 pass 문의 사용 용도빈 클래스 또는 함수 정의:클래스나 함수의 골격만 먼저 작성하고, 나중에 내용을 채우고 싶을 때 pass를 사용하여 빈 블록을 만듭니다.이는 특히 코드를 설계하는 초기 단계나, 다른 사람과의 협업 시 인터페이스를 먼저 정의할 때 유용합니다.class MyClass: # 클래스 정의는 필요하지만 내용은 나중에 작성 passdef my_function..

파이썬 - 클래스 개념

파이썬 클래스 개념다른 언어와 마찬가지로 인스턴스 변수와 메소드가 있고, 클래스 변수와 메소드가 있다. class Circle: # 클래스 변수: 원주율 pi = 3.14159 def __init__(self, radius): # 인스턴스 변수: 반지름 self.radius = radius # 인스턴스 메서드: 원의 넓이 계산 def area(self): return Circle.pi * (self.radius ** 2) # 인스턴스 메서드: 원의 둘레 계산 def circumference(self): return 2 * Circle.pi * self.radius # 클래스 메서드: 원주율 변경 @class..

빅데이터 분석을 위한 메달리온 아키텍처

빅데이터 분석을 위한 메달리온 아키텍처조대협 (http://bcho.tistory.com) 메달리온 아키텍처는 데이터를 품질에 따라서 계층별로 나눠서 저장하는 데이터 분석 아키텍처이다. Databricks에서 데이터 엔지니어링과 분석 워크플로우를 단순화하기 위해서 소개된 개념으로 데이터 레이크 기반 시스템에서 데이터의 품질과 정제 수준을 체계적으로 관리하기 위해서 등장했다. 데이타를 품질에 따라서, 올림픽 메달처럼 Bronze ⇒ Silver ⇒ Gold 등급으로 나눠서 저장한다. 특히 데이터 레이크 (하둡과 같은 파일 시스템 기반)과 데이터 웨어하우스(빅쿼리,오라클,스노우플레이크와 같은 SQL 기반)을 통합하여, 데이터 정제 단계를 계층화 하였다.  이해를 돕기 위해서 아래 그림을 보자. 먼저 데이터 ..

빅데이터 분석을 위한 ELT 플랫폼 BQ Workflow vs Dataform

빅데이터 분석을 위한 ELT 플랫폼 BQ Workflow vs Dataform조대협 (http://bcho.tistory.com) 빅데이터 분석에 시스템에서 데이터 분석에 앞서서, 데이터 수집 (Ingestion),데이터 변환(Transformation) 과정이 있고, 이 과정은 여러개의 스텝으로 구성이 된다. 그래서 이런 스탭들을 관리하기 위해서 오케스트레이션 솔루션이 사용되는데, 오픈소스로 가장 많이 사용되는 솔루션 중의 하나는 Apache Airflow이다. Airflow는 재처리 로직, 병렬처리, 외부 컴포넌트 호출등 많은 기능을 폭넓게 지원하지만 문제는 그만큼 복잡도가 높다는 문제이다. (Airflow에 대한 설명 : https://bcho.tistory.com/1184 )현재의 빅데이터 분석은..

Nest.JS 살펴보기 - 2. Hello World

Nest.JS 살펴보기 - 2. Hello World조대협 (http://bcho.tistory.com)1. 프로젝트 생성:터미널을 열고 다음 명령어를 실행하여 hello-world라는 이름의 Nest.js 프로젝트를 생성한다.nest new hello-world프로젝트 생성 과정에서 패키지 매니저를 선택하라는 메시지가 나타나면 npm을 선택한다. 프로젝트 생성이 완료되면 hello-world 디렉토리로 이동한다. cd hello-world2. 주요 파일 설명:생성된 프로젝트에는 다음과 같은 주요 파일들이 있다.src/app.controller.ts: 애플리케이션의 컨트롤러를 정의하는 파일이다. 컨트롤러는 클라이언트로부터 들어오는 요청을 처리하고, 그에 대한 응답을 반환하는 역할을 수행한다. 라우팅 로직..

Nest.js 살펴보기 #1 - 환경 구성

Nest.js 살펴보기 #1 - 환경 구성조대협 (http://bcho.tistory.com) Nest.js 를 사용하기 위해서 먼저 환경을 구성해보자 Node.js 설치가장 먼저 Node.js를 설치해야 한다. Node.js는 Nest.js 애플리케이션을 실행하는 데 필요한 런타임 환경을 제공한다. Node.js 공식 웹사이트(https://nodejs.org/)에서 운영체제에 맞는 설치 파일을 다운로드 받을 수 있다. LTS(Long Term Support) 버전을 다운로드하는 것을 권장한다. 다운로드한 설치 파일을 실행하여 Node.js를 설치한다. 설치 과정에서 npm(Node Package Manager)도 함께 설치되는데, npm은 Node.js 패키지를 관리하는 도구이다.설치가 완료되면 터미..

LLM 파인튜닝 기법 LoRA에 대한 개념 이해

LoRA 파인튜닝 개념의 이해조대협 (http://bcho.tistory.com) LLM 모델에 대한 Fine tuning시에, 가장 기본적인 방법은 모델을 학습데이터로 새롭게 처음부터 학습하는 방법인데, 이 방법은 (GPU)비용이 너무 많이 들고 시간도 많이 걸린다. 그래서 대안으로 등장한것이 PEFT (Parameter-Efficient Fine-Tuning) 이라는 개념으로 , 원본 모델의 패러미터(Weight)값은 고정 시키고 작은 수의 파라미터만 훈련하거나 작은 모듈을 추가하여 학습 하는 방법으로, 과적합 (Overfitting)을 방지하고 연산량을 줄이 는 방식이다. AdapterPEFT 방법으로는 오늘 살펴볼 LoRA나 Adapter 등의 방식이 있다.Adapter 방식은 기존 모델 아키텍처..

로컬에서 LLM 모델을 실행하기 위한 Ollama, LMStudio

요즘 LLM이 유행하면서 로컬 환경에서 소형 LLM인 sLLM을 실행하는 경우가 많은데, sLLM은 종류도 많을뿐더라, 코드를 직접 실행하고, 런타임을 최적화하기가 매우 어렵다.이런 문제를 해결하기 위해서 sLLM을 손쉽게 실행할 수 있는 환경이 있는데, 가장 널리 사용되는 환경으로는 Ollama와 LMStudio가 있다.  Ollama는 아래와 같이 CLI환경에서 프롬프트를 입력할 수 있다. 또한, HTTP REST API를 제공하기 때문에 애플리케이션 개발에도 유용하게 사용할 수 있다.  개인적으로는 LMStudio를 좀 더 선호하는데, LMStudio는 아래와 같이 GUI 베이스로, 쳇봇 GUI를 지원하기 때문에 좀더 깔끔하게 사용할 수 있고, 히스토리 관리등이 가능하다.  맥북 PRO M1으로 실..

벡터 임베딩에서 단어간의 유사도를 판단하는 원리

조대협 (http://bcho.tistory.com) 자연어 처리(NLP)의 핵심 기술 중 하나인 단어 임베딩(Word Embedding), 그 중에서도 단어 간 유사도를 어떻게 파악하는지 그 원리를 깊이 있게 파헤쳐 보려고 한다.혹시 컴퓨터가 어떻게 단어의 의미를 이해하고, "고양이"와 "강아지"가 유사한 단어라는 것을 알아차리는지 궁금한 적 없는가? 그 비밀은 바로 단어 임베딩에 있다! 핵심 원리: "비슷한 동네에 사는 단어는 비슷한 친구다!"단어 임베딩의 핵심 아이디어는 아주 직관적이다. 바로 **"유사한 맥락에서 등장하는 단어는 유사한 의미를 가진다"**는 분포 가설(Distributional Hypothesis) 에 기반을 두고 있다. 쉽게 말해, 비슷한 문맥에서 자주 함께 등장하는 단어들은 의..

GTM에서 전체시장, 유효시장, 수익 시장 (TAM,SAM,SOM)의 개념

TAM, SAM, SOM은 GTM(Go-to-Market) 전략에서 시장 규모를 이해하고 타겟을 설정하는 데 사용되는 중요한 개념이다. 각각의 용어는 다음과 같은 의미를 가진다 1. TAM (Total Addressable Market)전체 시장 규모를 나타낸다.TAM은 제품이나 서비스가 전 세계에서 제공될 수 있을 때, 이론적으로 접근 가능한 시장의 최대 규모를 의미한다.이는 이상적인 상황을 가정하며, 모든 경쟁사를 배제하고 시장을 100% 점유했을 때 달성 가능한 매출 규모다.TAM을 산출하는 것은 제품이 가진 전체 잠재력을 이해하는 데 중요하다.예:스마트워치를 제조하는 회사라면, TAM은 전 세계 모든 스마트워치 사용자의 시장 규모이다.2. SAM (Serviceable Addressable Mar..

비지니스 2025.01.04

생성형 AI로 코드 품질을 높이는 방법

쓰레드에서 @choi.openai 라는 분이 LLM 모델로 코드를 생성할때, "LLM에게 "더 나은 코드를 작성해달라"고 반복적으로 요구하면 실제로 더 나은 코드를 생성할 수 있다는 결과가 나왔습니다."라는 이야기가 있어서 테스트를 해봤다. 이 내용의 원본은 https://minimaxir.com/2025/01/write-better-code/ 이다.  Gemini를 이용해서 다음과 같이 간단한 REST API를 FastAPI로 만드는 프롬프트를 작성하였다.Create the REST API code with fastAPI. - get request with HTTP POST. Input body has username,address,gender fields. - have proper error hand..

2024년 LLM 애플리케이션 아키텍쳐 및 2025년 전망

2024년 LLM 애플리케이션 아키텍쳐 및 2025년 전망조대협(http://bcho.tistory.com) Langchain은 LLM (ChatGPT등)을 이용하여 애플리케이션을 개발할 수 있는 프레임웍이다.Langchain은 LangSmith라는 이름으로 LLM 애플리케이션의 실행 내역을 추적할 수 있는 기능을 가지고 있는데, 이를 통해서 사용자들의 LLM Application의 구조를 예측할 수 있다.  이번에 2024년 Langchain의 사용량에 대한 리포트가 나왔는데, 이를 통해서 LLM application이 어떻게 변화하고 있는지를 유추해볼 수 있다.  블로그 소스 : https://blog.langchain.dev/langchain-state-of-ai-2024/?fbclid=IwZXh0..

GTM 전략 상세

GTM 전략조대협 (http://bcho.tistory.com) GTM(Go-To-Market) 전략은 기업이 새로운 제품이나 서비스를 시장에 성공적으로 출시하기 위한 종합적인 계획을 말한다. 목표 고객 정의, 가치 제안 및 개발, 판매 및 마케팅 방법 결정 등의 요소를 포함한다.아키텍처 디자인에서 GTM 전략의 의미비즈니스 방향과 시스템 아키텍처의 방향이 서로 일치되도록 한다.우선순위, 아키텍처 설계 원칙 등을 고려한다.경쟁사와 시장의 이해를 통하여 시스템 아키텍처에서 차별화점을 개발한다.비즈니스 단계에 따른 아키텍처 설계, 시스템 운용 방안, 개발 프로세스를 도출한다.비즈니스 KPI에 일치된 시스템 모니터링 기능을 설계한다.GTM 전략의 구성 요소GTM 전략은 다음과 같은 구성 요소로 이루어진다.문제..

RAG 성능 튜닝 - Embedding fine tuning

다른 아이디어로는 Embedding 모델을 파인튜닝 하는 방법이 있다. OSS 나 클라우드 제공 Embedding 모델은 범용 목적에 맞춰져 있기 때문에, 특정 서비스의 단어 도메인과 맞지 않는 경우가 많다. 그래서, 이를 그 도메인의 단어로 파인튜닝하게 되면 Embedding된 결과를 통해서 유사 문서 (질문에 대한 답변)을 찾는 정확도가 향상되기 때문에 결과적으로 RAG의 성능을 향상 시킬 수 있다.  구글의 경우 Gecko Embedding 모델에 대한 파인 튜닝을 지원한다. https://cloud.google.com/vertex-ai/generative-ai/docs/models/tune-embeddings 텍스트 임베딩 조정  |  Generative AI on Vertex AI  |  Goo..

Small to Big Chunking in RAG

RAG에서 Chunk 를 retrieval 할때, 그 Chunk의 위와 아랫부분을 확장해서 같이 리턴하는 방법으로, 더 상세한 컨택스트를 리턴할 수 있다. 언뜻 보면 Parent/Child Chunking 기법과 유사하기는 하지만, 구현이 간단해 보이고, 문장을 중심으로 확장해서 컨택스트를 추출한다는 면에서 훨씬 효과가 있어보인다.  출처 https://www.youtube.com/watch?v=TRjq7t2Ms5I

아키텍처 설계 온라인 강의 오픈합니다.

안녕하세요?조대협입니다. 그동안 실시간으로만 진행해왔던 대용량 아키텍처 설계 강의를 온라인으로 패스트 캠퍼스에서 오픈합니다.생성형 AI 시대가 되면서, 코딩은 이제 AI가 하게 되고, 그러면 엔지니어로써 살아남기 위해서는 무엇을 준비해야 할까 고민을 해보면, 실리콘 밸리에서는 자바나 안드로이드 엔지니어가 아니라 General Software engineer라는 역할을 뽑습니다.특정 언어나 기술에 대한 종속성이 있는 것이 아니라, 비즈니스 문제를 기술로써 해결하는 사람으로, 이런 엔지니어의 특징은 문제 해결능력, 비즈니스에 대한 이해, 설계 능력과 좋은 커뮤니케이션 능력을 가지고 있습니다.  그래서 이번 대용량 아키텍처 강의는 그동안의 노하우를 다시 정리해서 리부트 하였습니다1. GTM 기반의 비즈니스 전..

6. Pytorch - 대규모 분산학습에서 고려할 사항

대규모 분산 학습에서 고려할 사항조대협 (http://bcho.tistory.com) 그러면 실제로 분산 학습은 어떻게 이루어질까, 하나의 머신에서 여러 GPU를 사용하는 멀티 GPU의 경우에는 코드만 싱글 GPU 코드와 다르지 다른 설정은 다르지 않다. 그러나 멀티 머신 학습의 경우에는 각 머신에서 학습 코드를 실행해줘야 하고, 같은 데이터 소스로 부터 데이터를 각 머신에서 읽어와야 한다. 그렇다면 동시에 여러 머신에 학습 코드를 어떻게 실행할까?스케쥴러수동으로, 특정 서버에서 각각 학습 코드를 실행할 수 도 있지만, 보통 수십,수백개의 머신에서 하나의 학습만을 돌리는 일은 드물다. 중간 중간 실험을 위해서 작은 모델을 학습하기도 하고, 전체 머신들에서 하나의 거대 모델들을 돌리기도 한다.  만약 50..

5. 파이토치 - 분산 학습의 개념과 하드웨어

분산학습의 개념조대협 (http://bcho.tistory.com)분산 학습 개념분산학습이란, 모델이 커서 하나의 머신이나 장치(CPU,GPU) 에서 학습이 불가능할때, 모델을 여러개의 GPU나 또는 여러개의 머신으로 나눠서 학습을 하는 방법이다.분산 학습의 방법분산 학습 방법은 크게 모델 병렬화 (Tensor Parallelism), 데이터 병렬화 (Data Parallelism) 으로 분류 할 수 있다.   출처 https://uvadlc-notebooks.readthedocs.io/en/latest/tutorial_notebooks/scaling/JAX/tensor_parallel_simple.html 데이터 병렬화 : Distributed Data Parallelism (이하 DDP)라고 하는데,..

GTM 전략의 이해

GTM 전략의 이해조대협 (http://bcho.tistory.com)  IT 시스템은 기존의 비즈니스를 지원하거나 또는 IT 서비스 자체가 제품이 되는 경우인데, 이러한 IT 서비스를 설계하기 위해서는 개발하고자 하는 시스템이 제공하는 가치와 그 비즈니스를 이해해야 한다. 비즈니스의 이해가 없이, 비지니스에 활용되는 시스템을 설계 한다는 것은 전체 그림을 보지 못하면서 일부만을 이해하고 그 일부가 전체인 것처럼 이해하고 시스템을 구축하기 때문에, 좋은 시스템이 만들어질 수 없다. 비즈니스에서 제품/서비스를 기획하고, 이를 마케팅,판매하고 측정하는 일련의 계획을 GTM 전략이라고 한다. GTM 전략 GTM(Go-to-Market) 전략은 기업이 새로운 제품이나 서비스를 시장에 성공적으로 출시하고 판매하기..

비지니스 2024.09.03

파이토치 분산 학습 도구 비교

1. 개요torch.distributed.launch와 torchrun은 둘 다 PyTorch에서 분산 학습을 실행하기 위한 도구이다.torch.distributed.launch는 이전부터 사용되어 온 유틸리티이며, torchrun은 더 최근에 등장한 도구로 사용 편의성을 개선했다.2. 주요 차이점 torch.distributed.launchtorchrun사용 편의성--local_rank 인자를 수동으로 스크립트에 전달해야 함--local_rank 자동 처리기능 범위기본적인 분산 학습 실행 기능 제공torch.distributed.launch 기능 + 탄력성(elasticity), 오류 처리 등 추가 기능 제공오류 처리worker 실패 시 자동 재시작 기능 없음worker 실패 시 자동 재시작 기능 제공..

파이토치 4 - 쿠버네티스에서 학습하기

파이토치 모델을 학습을 하는데 여러 사람이 동시에 작업을 하거나 또는 학습이 멀티 GPU, 멀티 노드를 사용할 경우에는 한정된 GPU 자원을 어떻게 배치할지에 대한 어려움이 생긴다. 또한 파이토치 작업이 학습도중에 중단되거나 했을때 자동으로 학습을 재시작하는 것과 같은 자동화된 관리가 필요한데, 이런 문제를 해결하기 위해서 가장 보편적으로 사용되는 접근 방법이 쿠버네티스나 Slurm등이 될 수 있다.  향후에 멀티 머신 기반의 학습이나 Fault Torelent 아키텍처를 기반으로한 분산 모델 학습 방법에도 설명하겠지만, 이 글에서는 간단하게 모델을 쿠버네티스에서 학습할 수 있는 방법에 대해서 알아본다.  아래 코드는 파이토치 라이트닝을 이용하여 Fashion Mnist 데이터를 학습하는 간단한 DNN ..

파이토치 3. 파이토치라이트닝

파이토치 라이트닝 파이토치 라이트닝은 파이토치를 한번 더 추상화하는 프레임웍으로, 파이토치 코딩의 복잡도를 낮춰주는 프레임이다. 텐서플로우의 복잡도를 케라스로 잡아주는 느낌이라고 할까? 한번더 추상화하는 만큼, 약간의 성능저하가 발생한다.  아래와 같은 간단한 선형 회귀 모델이 있다고 하자.import osimport torchfrom torch import nnimport torch.nn.functional as Ffrom torch.utils.data import DataLoaderimport lightning as Lfrom torch.utils.data import TensorDataset# 데이터x_train = torch.FloatTensor([[1], [2], [3]])y_train = t..

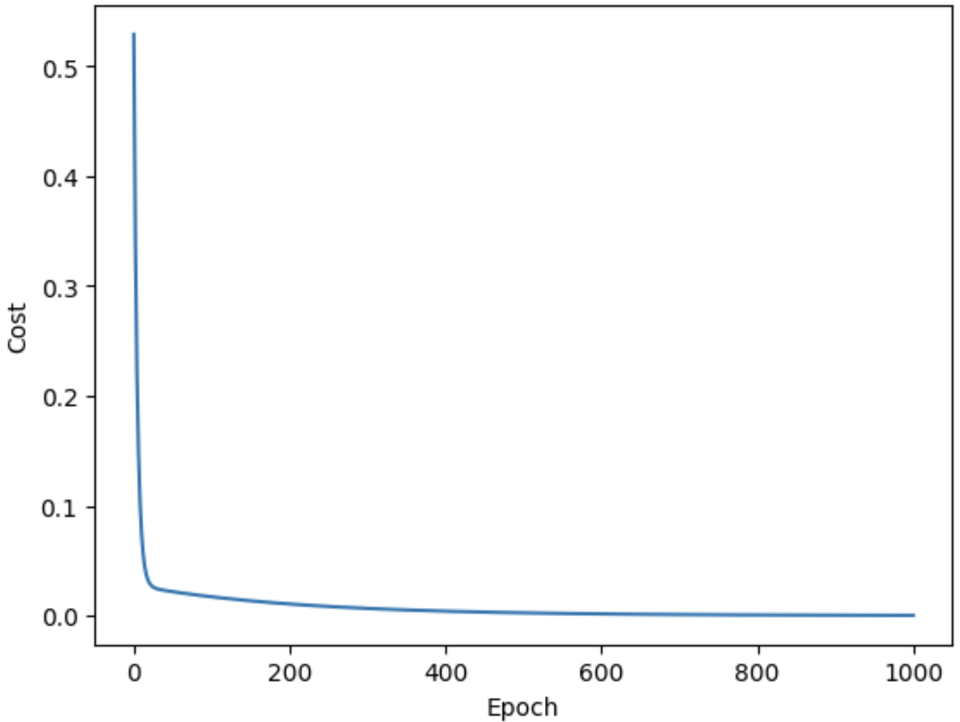
파이토치 2. 선형회귀 (Linear Regression)을 통한 코드 구조 이해

파이토치의 모델 코드 구조를 이해해보자.먼저 가장 간단한 선형 회귀 모델 코드를 살펴보자. 아래는 전체 코드 블럭이다. 아래 코드는 "모두를 위한 딥러닝 시즌 2 파이토치 편"을 참고하였다. https://deeplearningzerotoall.github.io/season2/lec_pytorch.htmlimport matplotlib.pyplot as pltimport numpy as npimport torchimport torch.nn as nnimport torch.nn.functional as Fimport torch.optim as optim# 데이터x_train = torch.FloatTensor([[1], [2], [3]])y_train = torch.FloatTensor([[1], [2],..